穹状沙丘外形浑圆、缺乏落沙坡且独立存在,是一类外形特殊的沙丘,在地球与火星上分布较普遍,但是,长期以来科研人员对穹状沙丘的形成发育机制解释不清。
中国科学院新疆生态与地理研究所高鑫副研究员采用元胞自动机模型模拟与实际观测相结合的方法,首次从动力学机制角度阐明了穹状沙丘的发育机制:在沙源不丰富的区域,输沙方向分布标准差增加促使新月形向穹状沙丘演变。在稳定状态下,新月形和穹状沙丘都表现为其移动速度与高度呈反比例的动力学机制。此外,科研人员可以利用局地区域穹状沙丘的形态与移动速度反演输沙和风况特征。
该研究首次从动力学机制角度阐述了穹状沙丘的形成与演化过程,相关研究结果以Morphodynamics of barchan and dome dunes under variable wind regimes为题发表在美国地质学会的核心期刊Geology上。

图1 地球系统中的穹状沙丘与输沙标准差的定义。
A、塔克拉玛干沙漠中的巨型穹状沙丘。B、C、D、撒哈拉沙漠中的穹状沙丘。E、单向和多向风的输沙标准差定义。F、RDP/DP与输沙标准差的关系。
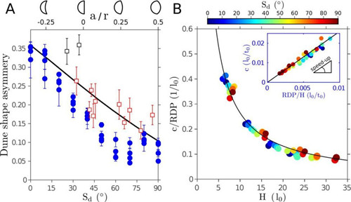
图2 穹状沙丘的形态动力学
A、穹状沙丘的不对称性与输沙标准差的关系(方形和圆形符号分别代表实际观测和模拟结果)。B、稳定状态下,穹状沙丘的移动速度与高度的关系
附件下载: