荒漠植物在全球气候变化背景下生理生态过程及其如何影响荒漠生态系统结构与功能,是荒漠生态系统生态学领域的研究热点。自然与人工植被是荒漠生态系统最主要的组成者,其生态功能的稳定与可持续对区域气候调节、风沙固持和碳汇功能等方面具有重要意义。荒漠植物长期在极端环境下生存,其对干旱的忍耐程度已达到一定限度,环境因子(水分)的微小波动都会对其带来灾难性后果。因此,探究荒漠植物对环境变化的适应策略与维持机制的研究至关重要。
针对上述问题,中国科学院新疆生态与地理研究所阜康荒漠生态国家野外科学观测研究站李彦研究员团队,依托古尔班通古特沙漠地下水位梯度平台和塔中站人工防护林实验平台,以荒漠植物梭梭为研究对象,通过定位实验,破坏性采样分析及模型模拟,揭示荒漠植物对水分变化的适应策略与维持机制。
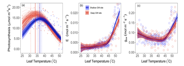
研究结果表明,地下水位下降,梭梭叶片(同化枝)尺寸显著减小,植株冠层高度也显著降低,茎部生物量减少,更多生物量分配到叶片(同化枝);梭梭的叶片光合能力增加,尤其是在叶片温度小于35℃,并且叶片最适光合温度降低;不管是自然或人工种植的梭梭,当叶片温度大于45℃,二者都出现了光合速率下降,但气孔导度和蒸腾速率增加的解耦,是其在高温环境下降低叶片温度的适应策略。研究成果有助于更好地理解荒漠植被适应高温/干旱的机理机制,提高荒漠生态系统碳水循环模型的预测能力。
相关成果分别以:“Multi-level physiological and morphological adjustment of Haloxylon ammodendron related to groundwater drawdown in a desert ecosystem”; “Contrasting responses of two C4 desert shrubs to drought but consistent decoupling of photosynthesis and stomatal conductance at high temperature”为题发表在Agricultural and Forest Meteorology和Environmental and Experimental Botany。论文第一作者为新疆生地所硕士研究生冯晓龙,该研究得到国家自然科学基金、上合组织国际科技伙伴计划等项目的支持。
文章链接:
https://linkinghub.elsevier.com/retrieve/pii/S0168192322002842
https://linkinghub.elsevier.com/retrieve/pii/S0098847223000904

图1 不同地下水位梭梭叶片光合速率、蒸腾速率和气孔导度随叶片温度的变化

图2 不同水分条件下梭梭与沙拐枣叶片直径与长度的变化
附件下载: