灌溉农业贡献了全球粮食产量的40%,但其用水量却占全球用水总量的70%,而灌溉抽水过程往往伴随着能源消耗和温室气体排放。随着全球灌溉用水需求的增加、化石燃料的枯竭以及环境问题的日益突出,灌溉农业水-能-碳纽带关系日益趋紧,为了保障全球粮食安全需迫切对灌溉农业水-能-碳纽带关系进行全面的解析,并寻找实现灌溉农业可持续发展的路径。然而,目前大量研究集中在全球灌溉用水量的定量评估方面,缺乏对全球灌溉能源消耗和碳排放环节的全面认识,限制了对灌溉农业水-能-碳纽带关系的揭示。此外,由于高分辨率数据的缺乏以及关键参数估算的复杂性,以往研究很少对全球灌溉用水能源消耗和碳排放进行定量化评估,导致目前尚不清楚全球灌溉用水消耗了多少能源、排放了多少二氧化碳。同时,灌溉所产生的碳排放对农业温室气体排放的贡献,以及其在全球气候减缓努力中的作用,在很大程度上仍是未知的。
针对上述问题,中国科学院新疆生态与地理研究所荒漠与绿洲生态国家重点实验室陈亚宁研究员团队首次对全球灌溉农业能源消耗和碳排放进行了全面的解析,提供了对全球灌溉农业水-能-碳纽带关系的最新认识。研究团队首先基于物理过程“自下而上”构建了从区域到网格尺度的全球灌溉能源消耗和碳排放估算模型,生成了一套高精度的灌溉农业水-能-碳数据集;全面解析了全球灌溉农业水-能-碳强度关系,揭示了影响能源消耗和碳排放的主要因素;评估了不同灌溉系统、泵送系统、电力来源以及未来3℃可持续灌溉扩张等不同发展情景下的灌溉用水-能-碳的演变趋势,提出了全球灌溉碳减排方案的实施路径。
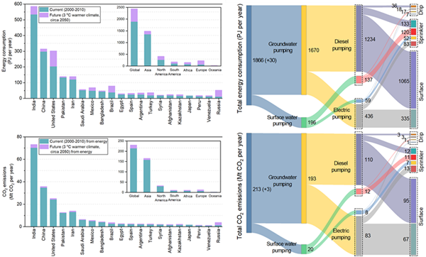
研究结果表明,全球每年因灌溉需要消耗1896 PJ能源,排放216 Mt CO2,相当于农业生产要素总能源投入和碳排放的~15%,或单位面积农业生产要素能源投入和碳排放的~30%;全球主要农业灌溉国对灌溉能源消耗和碳排放的贡献达到70%,其中约90%的灌溉能源消耗和碳排放贡献于地下水的抽取。未来可持续灌溉扩张对能源系统的影响最显著,尤其会使欧洲能源供应系统的压力增加三倍多。但通过采用高效、低碳的灌溉方式可将能源消耗减半,将二氧化碳排放量减少约90%。考虑到各国缓解方案的具体可行性时,通过走滴灌和低碳电力相结合的路径可将全球二氧化碳排放减少约55%。这项研究结果不仅揭示了与灌溉相关的全球能源消耗和碳排放的未知领域,还为灌溉农业水-能-碳纽带的核心互馈机制解析和可持续发展提供了重要参考。
相关成果以“Global energy use and carbon emissions from irrigated agriculture”为题发表在Nature Communications上。中国科学院新疆生态与地理研究所博士研究生秦景秀为论文第一作者,段伟利研究员为论文通讯作者。合作单位还包括美国斯坦福卡内基科学研究所。该研究得到国家自然科学基金等项目的资助。
文章链接:https://doi.org/10.1038/s41467-024-47383-5

图1 全球灌溉能源消耗和碳排放量(左)及其在不同灌溉水源、灌溉系统和泵送系统中的分布(右)

图2 灌溉能源投入和相应碳排放对农业生产要素总能源投入和碳排放的贡献

图3 不同情景全球灌溉能源消耗和碳排放对比(左)及未来全球灌溉碳减排方案的实施路径(右)
附件下载: